介紹 在電路中,電阻是電導體的特性,它通過電導體抵抗關鍵階段4和5電流并將電能從電路中消散。使用數據記錄器測量電阻,本實驗的目的是證明用于計算串聯和并聯電阻的公式,并介紹通過電路的不同路徑的電子流的概念


所需設備
DrDAQ數據記錄器 各種不同電阻的電阻 小接線端子(可選)


實驗設置
1.將DrDAQ數據記錄器連接到PC 2.將DrDAQ'R'連接器連接到端子板A-1側 3.將DrDAQ'G'連接器連接到端子板A-4側


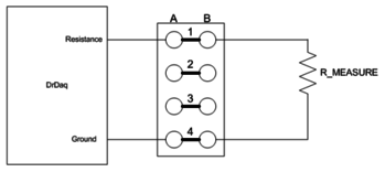
測量電阻器 將電阻連接到測量(R MEASURE)到B-1和B-4,如圖1所示。 使用PicoScope中的Meter功能測量電阻,記下該值,然后使用不同的電阻值重復。


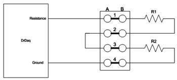
串聯測量電阻器 連接電阻以測量(R1和R2)到B-1和B-2,以及B-3和B-4,如圖2所示。 將電線從A-2連接到A-3,如圖2所示。 再次使用PicoScope測量電阻,記下該值,然后重復使用不同的電阻值。


并聯測量電阻器 連接電阻以測量(R1和R2)至B-1和B-4,如圖3所示。 使用PicoScope測量電阻,記下該值,然后重復使用不同的電阻值。


問題和討論 當電阻并聯時,為什么電阻會降低? 當電阻串聯時,為什么電阻會更高? 將“負載”(燈泡,電機等)串聯起來有什么好處?/ 平行?

查看詳情