介紹 在該實驗中,垂直懸掛在房間中的金屬板上的對流傳熱系數(h)通過測量房間的環境溫度和板的表面溫度來確定,當板從最初的高溫冷卻到較低的溫度時自由對流。使用的方法是將實驗冷卻軌跡與不同h值的一系列理論曲線進行比較,然后選擇最佳匹配并確定h的值。 在該實驗中使用集總熱容法來確定對流系數。該實驗非常適合各種群體,包括從事高中水平(例如11年級或12年級)的物理學科的學生,以及在本科階段從事傳熱學科的學生(例如機械工程學士學位的2年級)課程)。


所需設備 ?TC-08熱電偶數據記錄儀 ? 安裝了PicoLog數據記錄軟件的 PC ?3個K型熱電偶 ?鋁356金屬板(可以使用其他散熱量的金屬板) ?1升容器加熱用于加熱的水,將樣品加熱至初始溫度 ?便攜式燃氣燃燒器加熱水 ?U型夾具有尖頭螺釘(或替代夾緊,可最大限度地減少熱量損失) ?用于懸掛樣品的基座和支架(或替代裝置) ?用一塊小布清潔板面上多余的水分


背景理論 一種固體,其幾何形狀,尺寸和熱性能使得外部表面的熱流阻力比內部大得多,可以作為在均勻溫度下冷卻的材料塊來處理。這正式稱為集總熱容傳熱箱。Biot編號標準給出了該方法適用性的測試如下:

并且可以通過以下公式以合理的準確度描述作為時間函數的固體溫度:


實驗設置 通過在尖頭螺釘之間擰緊將樣品夾在夾具中,并在距離地面約1.5米(或所需高度)處懸掛在要確定傳熱系數的房間或空間的中間。使用如圖1所示的支架懸掛樣品或替代懸掛裝置。 將TC-08單元連接到PC并將三個熱電偶插入轉換器。使用一些粘合劑將一個熱電偶端放在其中一個板面的中間,然后將另一個熱電偶放在適當的位置以測量房間的環境溫度。留出一個熱電偶,用于測量水溫。


進行實驗 點燃燃燒器,將一個熱電偶放入水容器中,并使用燃燒器將水加熱至約95攝氏度。根據需要降低燃燒器火焰以保持該溫度。 啟動計算機并運行PicoLog記錄器軟件,將采樣率設置為每秒1個樣本,并確保溫度監視器顯示已打開,然后開始將數據記錄到文件中。 通過將板的下端浸入水中,使用熱水加熱樣品。加熱直至樣品溫度達到約85攝氏度。 當板溫度讀數大約為85度時,將水和燃燒器放開,快速擦去浸沒在水中的板端的多余水分,讓板冷卻約半小時。在此時間之后停止記錄器并使用記錄的數據來確定對流系數,如下所述。可以從記錄的數據中提取用于確定對流系數的測量溫度范圍數據。


使用理論冷卻曲線和測量數據確定對流系數 要找到磁鐵在兩個線圈之間移動所需的時間:在該實驗中使用鋁級356熔模鑄造樣品板。該實驗在具有最小通風和環境溫度約18℃的房間中進行。樣品板具有矩形幾何形狀的光滑表面光潔度和矩形凹槽。設置裝置和板的幾何形狀可以在上面的圖1中看到。總體尺寸,測量面積和體積以及熱性能如下: ?總長:101毫米 ?總寬度:62毫米 ?整體厚度:19毫米 ?測量的表面積:A = 1.848 * 10 -2 m2 ?測量體積:V = 1.082 * 10 -4 m3 ?導熱系數:167.36 W / m·K ?熱容量:963 J / kg K.

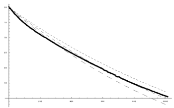
對于所用樣品的材料,幾何形狀和尺寸,應用集總熱容。在評估適用性標準(h * V / A * K)時,我們得到0.0003,遠低于標準最大值0.1,以獲得合理的準確度。 下面的圖2顯示了環境,水和板表面的三個溫度曲線。圖2的綠色曲線是板表面溫度,藍色曲線是水溫,紅色曲線是環境溫度。 對于給定的實驗條件,室溫為18°C且無氣流,應該預期典型值約為10 W / m·K。因此,下面圖3中繪制的理論曲線是h值約為10。

在將測量數據疊加到理論曲線上并精煉范圍之后,通過選擇如下圖4中所示的最佳匹配曲線,將h的足夠接近的值確定為大約10。深黑色線是測量的溫度。


問題和結果討論 為什么用尖頭螺釘夾住樣品? 如何才能找到更接近的理論冷卻曲線? 什么是輻射效應?可以從圖4的疊加圖中扣除任何內容嗎?可以忽略輻射效應嗎?

查看結果